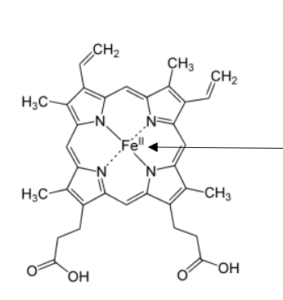
This document shows a case study about haemoglobin and more specifically oxidation numbers.
Click Here to Download – Oxidation Numbers – Haemoglobin (Case Study)